3.5 x3 5 5 x 7 x 2,5

If you are searching about 2020 BMW X3 photos - 1/1 - The Car Guide you've visit to the right page. We have 35 Pics about 2020 BMW X3 photos - 1/1 - The Car Guide like [Snapdragon 855][10]TWRP 3.5.0 Recovery for Realme X3 ~ Techswizz, BMW X3 and also 4-piece 4-color Process Magnetic Puzzle (3.5"X3.5"),China Wholesale 4. Here you go:

2020 BMW X3 Photos - 1/1 - The Car Guide

2020 BMW X3 photos - 1/1 - The Car Guide www.guideautoweb.com

x3 bmw xdrive30i suv india car vs expects suvs sales form luxury lakh 2021 jeep launched 3rd gen rs sport

Solax X3 -7.0T - Eshop Frankensolar EE

Solax X3 -7.0T - eshop Frankensolar EE shop.frankensolar.eu

x3 solax 0t eu shop

BMW X3

BMW X3 fichasyprecios.motor.elpais.com

x3 xdrive30e facelift xc60 q5

X3

X3 www.slideshare.net

x3

X3 5.24 Two - YouTube

X3 5.24 two - YouTube www.youtube.com

Modern Cars 2011: BMW X3 (2011)

Modern Cars 2011: BMW X3 (2011) modern-cars-2011.blogspot.com

5x+7=4x+10 - YouTube

5x+7=4x+10 - YouTube www.youtube.com

Solve 5𝑥 + 7/2 = 3/2 𝑥 − 14 - YouTube

Solve 5𝑥 + 7/2 = 3/2 𝑥 − 14 - YouTube www.youtube.com

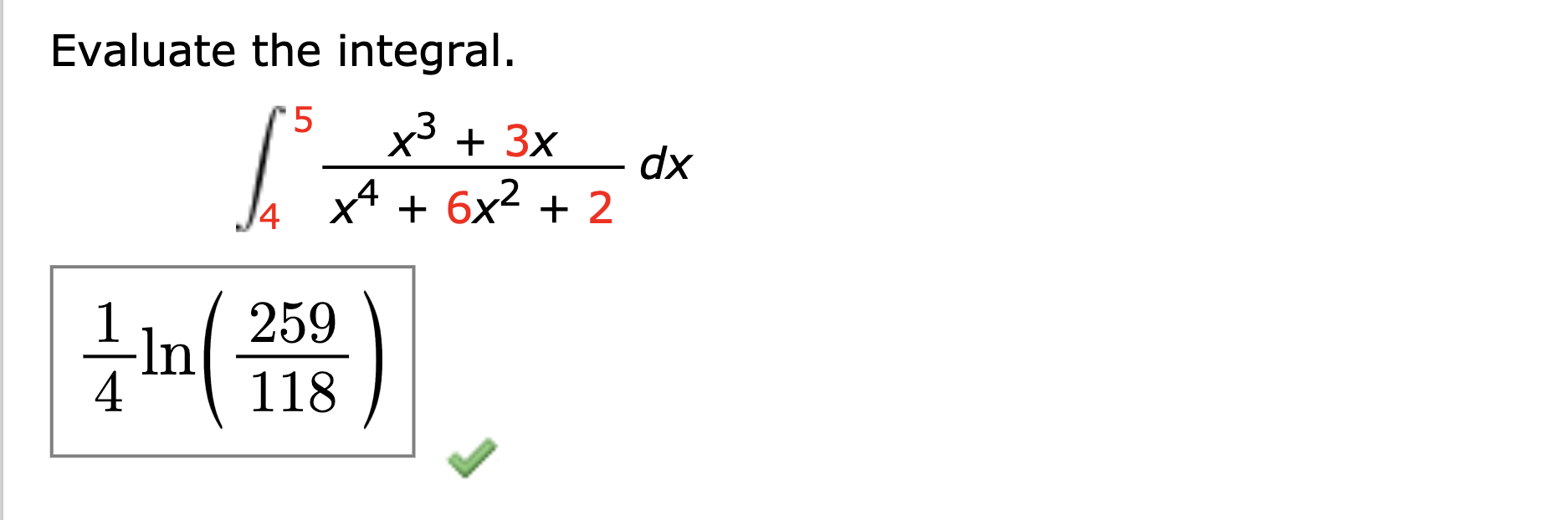
Solved Evaluate The Integral. X3 + 3x X4 + 6x² +2 5 хр 1 4 | Chegg.com

Solved Evaluate the integral. x3 + 3x x4 + 6x² +2 5 хр 1 4 | Chegg.com www.chegg.com

x3 x4 evaluate 6x2 dx

Modern Cars 2011: BMW X3 (2011)

Modern Cars 2011: BMW X3 (2011) modern-cars-2011.blogspot.com

x3

X3 5.17 - YouTube

X3 5.17 - YouTube www.youtube.com

3" X 5"

3" x 5" keyenvelopes.com

MAXON X3 - 5.7 Inch HD 1GB RAM 16GB ROM MT6589 Quad Core 1.2GHz Android

MAXON X3 - 5.7 inch HD 1GB RAM 16GB ROM MT6589 Quad Core 1.2GHz Android www.cect-shop.com

x3 maxon 16gb 1gb rom mt6589 2ghz ram 3g quad android core inch

Trabajo De Tic: Bmw X3

Trabajo de tic: bmw X3 imagenesalex10.blogspot.com

x3 tic

Thedancingemu:Mold Sprite ACEOswatercolor / Multimedia, 2.5″x3.5

thedancingemu:Mold Sprite ACEOswatercolor / multimedia, 2.5″x3.5 tumblrpics.com

X3

X3 www.airtiteholders.com

x3 x6 x1 pc1 airtiteholders

XDUOO X3 Review, Test, Whatever | Me & Life & My Gadget

XDUOO X3 Review, Test, Whatever | Me & Life & My Gadget farifk.blogspot.com

xduoo x3 whatever test review side

2015 BMW X3 Unveiled With Restyled Exterior, New Diesel Engines And

2015 BMW X3 unveiled with restyled exterior, new diesel engines and luxurylaunches.com

bmw x3 f25 xline facelift debuts arrival swanky chicago ahead autoevolution diesel cars premiere luxurylaunches lci unveiled engines restyled exterior

5 X 7 X 2,5 - YouTube

5 x 7 x 2,5 - YouTube www.youtube.com

[Snapdragon 855][10]TWRP 3.5.0 Recovery For Realme X3 ~ Techswizz

[Snapdragon 855][10]TWRP 3.5.0 Recovery for Realme X3 ~ Techswizz www.techswizz.com

twrp realme x3

Solax X3-12.0-P PRO 3-phasig 12.0KW Online Kaufen Bei PrimeSolar

Solax X3-12.0-P PRO 3-phasig 12.0KW online kaufen bei PrimeSolar www.primesolar.eu

x3 solax phasig

Guophone X3 5.5" 5000MAH MTK6739 Quad Core 2GB RAM 16GB ROM Android 8.1

Guophone X3 5.5" 5000MAH MTK6739 Quad Core 2GB RAM 16GB ROM Android 8.1 www.aliexpress.com

x3 5000mah gps 2gb 16gb quad rom ram android core lte wcdma 8mp 3g waterproof smartphone

BMW X3

BMW X3 fichasyprecios.motor.elpais.com

x3

Hairstyle And Care Tips: BMW X3|BMW X3 Price|BMW X3 Prices In India|BMW

Hairstyle and Care Tips: BMW X3|BMW X3 Price|BMW X3 Prices in India|BMW thegirlwithaplaymobilface.blogspot.com

bmw x3 2005 tuning parts used lumma 2010 sport kit suv ano ve x5 0i eyebrows headlight updated silver luxury

Stik-on Adhesive Notes Cube (3.5"X3.5"X 1.75"),China Wholesale Stik-on

Stik-on Adhesive Notes Cube (3.5"X3.5"X 1.75"),China Wholesale Stik-on www.oempromo.com

x3 stik pads

6 X 3 ??? - YouTube

6 x 3 ??? - YouTube www.youtube.com

Stik-on Adhesive Notes Photo Cube (3.5"X3.5"X3.5"),China Wholesale Stik

Stik-on Adhesive Notes Photo Cube (3.5"X3.5"X3.5"),China Wholesale Stik www.oempromo.com

stik cube

Thedancingemu:Mold Sprite ACEOswatercolor / Multimedia, 2.5″x3.5

thedancingemu:Mold Sprite ACEOswatercolor / multimedia, 2.5″x3.5 tumblrpics.com

4-piece 4-color Process Magnetic Puzzle (3.5"X3.5"),China Wholesale 4

4-piece 4-color Process Magnetic Puzzle (3.5"X3.5"),China Wholesale 4 www.oempromo.com

x3 magnetic puzzles

3x3 #6 - YouTube

3x3 #6 - YouTube www.youtube.com

5.04 3x3 Single - YouTube

5.04 3x3 single - YouTube www.youtube.com

Пневмокаркасный модуль 4 X 3 X 2 5 м. - YouTube

Пневмокаркасный модуль 4 x 3 x 2 5 м. - YouTube www.youtube.com

Fiio X3 Portable Digital Music Player Review - The Gadgeteer

Fiio X3 Portable Digital Music Player review - The Gadgeteer the-gadgeteer.com

x3 fiio player portable digital music review gadgeteer

BMW X3

BMW X3 fichasyprecios.motor.elpais.com

x3

[3x3] 5.67 Official 3x3 Single - YouTube

[3x3] 5.67 official 3x3 single - YouTube www.youtube.com

X3 x6 x1 pc1 airtiteholders. Hairstyle and care tips: bmw x3|bmw x3 price|bmw x3 prices in india|bmw. X3 solax phasig


LihatTutupKomentar

ads